澳大利亚新南威尔士大学等研究人员曾在Ophthalmology上发表的研究称,未矫正的屈光不正是造成远视障碍的最常见原因,影响着约2.6亿人,是全球第二大最常见的失明原因。
未矫正的远视屈光不正主要由近视引起,其经济负担估计为每年2020亿美元。而高度近视可能还会增加白内障、青光眼、视网膜脱离和近视眼黄斑变性等眼部病变的风险,这些还可能会导致不可逆转的视力丧失。在一些近视高发的地区,近视眼黄斑病变已被发现是导致不可逆转的失明的最常见原因。

从2000年~2050年的每个十年中,估计有近视和高度近视的人数,2000年,这一数字为1.46亿,到2050年增加到4.75亿
Holden BA, Fricke TR, Wilson DA, et al. Global Prevalence of Myopia and High Myopia and Temporal Trends from 2000 through 2050. Ophthalmology. 2016;123 (5):1036-1042.
最近的研究发现了近视和睡眠质量之间的关系, 调查了昼夜节律失调和屈光不正之间的联系。比如,一项研究发现,高度近视的儿童表现出最短的睡眠时间和最晚的上床时间,导致了睡眠质量差。同样,另一项研究报告了12-19岁的韩国青少年的近视和睡眠时间之间成反比关系。相反,一些研究发现,没有足够的证据表明近视者的睡眠不佳。
早晨血清褪黑激素浓度与近视程度之间存在显着的正相关,近视者的血清褪黑激素浓度是弱视者的三倍。近视者的血清褪黑激素水平较高,可能是由于近视者的褪黑激素昼夜节律时间延迟,褪黑激素的总输出量较大等。
褪黑素(Melatonin,MT)是由脑松果体分泌的激素之一,褪黑素的分泌具有明显的昼夜节律,白天分泌受抑制,晚上分泌活跃。内在光敏视网膜神经节细胞(ipRGC),它将环境光信息传递给下丘脑的上核,而下丘脑则调节内源性褪黑激素的释放。 褪黑激素浓度的变化可以通过视网膜或脉络膜血管进入眼睛并影响眼睛。褪黑激素已被证明可诱导近视实验小鸡的脉络膜变薄,使得近视恶化。
近日,澳大利亚弗林德斯大学在SLEEP发表的一项新研究表明,近视人群可能比正常视力人群的睡眠质量更差。在这项研究中,研究人员调查了近视年轻人之间褪黑激素昼夜节律的时间(即DLMO时间)、褪黑激素总产出和睡眠情况。此外,还研究了褪黑素输出、时间和睡眠结果的差异是否与近视有关。

Ranjay Chakraborty et al, Myopia, or near-sightedness, is associated with delayed melatonin circadian timing and lower melatonin output in young adult humans, Sleep (2020). DOI:10.1093/sleep/zsaa208
研究发现:与正视组相比,近视眼的眼轴长度较正视组长约1.84 mm、近视组比正视组有更多的近视父母。与正视组相比,近视眼患者花在阅读和近距离工作上的时间也明显更多。

近视组与正视组在眼部、褪黑激素和睡眠特征上的差异及效应大小
据推测,近视的人会比正视的人表现出尿中褪黑素输出得更多,其夜间尿分泌总量无差异。然而,从夜里总尿量中提取的aMT6s(6- 羟基硫酸褪黑素)水平在近视患者中明显低于准近视患者。与正视组相比,近视组在唾液中的褪黑激素昼夜节律的时间中表现出1小时和12分钟的延迟。

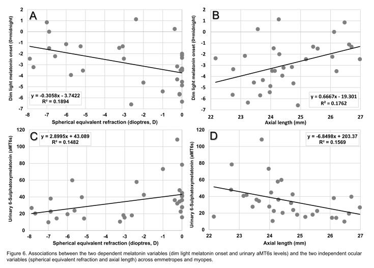
在两个屈光组中,显示了两个褪黑激素变量与等效球镜度数和轴长之间的关系。
褪黑激素昼夜节律、aMT6s水平、早晨-夜晚得分表、睡眠开始时的潜伏期都与等效球镜度数有明显的关系。睡眠开始时间和等效球镜度数之间呈显着的负相关,总睡眠时间、总在床时间与等效球镜度数之间有显着的正相关。
在过去的一个月测试里,两个屈光组的主观睡眠质量的全球匹兹堡睡眠质量指数得分没有统计学差异。然而,早晨-夜晚得分(MEQ)的差异有统计学意义,表明近视眼比正常视力的人相对来说,显示出"夜晚型"。
研究人员在睡眠的客观和主观评估后发现:近视眼的整体睡眠质量不佳。他们的睡眠开始时间比常人明显延迟56分钟。近视者还表现出在床上的总时间、总的睡眠时间更短。然而,上床时间、熄灯时间、睡眠中点、起床时间、醒来时间以及睡眠效率在两个组之间都是相似的。
梅斯医学笔者认为:许多电子设备发出蓝光,这可抑制褪黑激素的产生并导致夜间昼夜节律的延迟,从而导致睡眠延迟。为确保良好的睡眠和健康的视力,限制儿童使用电子设备非常重要。这项研究为近视的生物学和环境因素提供新见解,有助于儿童近视的早期诊断和治疗。
原文出处:
Ranjay Chakraborty et al, Myopia, or near-sightedness, is associated
公司地址:宿迁经济技术开发区富豪御景城人民大道2-S44号商铺
公司座机:0527-82997298
联系电话:15205247621
在线下单